북수원자이 렉스비아는 경기도 수원시 장안구 정자동 530-6번지 일원에 건립되는 1천598세대 대단지 아파트이다.
대단지 아파트로 지하2층에서 지상29층 21개동 총 2,607세대이며 이는 임대 184세대 포함이다.
일반공급은 1천598세대이다.

수원111-1구역 정자지구 주택재개발정비사업으로 진행되는 북수원자이 렉스비아는 투기과열지구이며 분양가상한제 적용 아파트이다.
북수원자이 렉스비아 청약 및 계약 주요일정
특별공급
기관추천, 다자녀, 신혼부부, 노부모부양, 생애최초 : 2021.03.29(월)
일반공급
1순위 해당지역: 수원시 2년이상거주 : 2021.03.30 (화)
1순위 기타지역: 수원시 2년 미만거주, 경기/서울/인천 거주 2021.03.31(수)
당첨자 발표 : 2021.04.07(수)
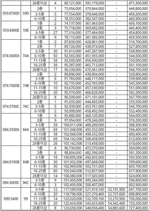
북수원자이 렉스비아 분양가
평형별 공급금액이며 발코니 확장금액 별도이다.
전용 48제곱미터형은 3억4천에서 3억6천만원대, 전용 59제곱미터형은 4억3천만원대에서 4억8천만원대,
전용 74제곱미터형은 5억1천만원대부터 5억6천만원대이다.
전용 84제곱미터형은 5억6천만원대부터 6억 2천만원대 분양가가 형성되어있다.
전용99형은 6억9천만원대부터 7억2천7백만원대의 분양가를 보이고 있다.


북수원자이 렉스비아 일반공급 청약
일반공급 신청자격은 다음과 같다.
최초 입주자모집공고일 현재 수도권인 경기도, 서울시, 인천시 지역에 거주하는 만19세 이산인자 또는 세대주인 미성년자등이다.
청약신청자중 동일순위 내 경쟁이 있을경우 수원시 2년이상 거주중인 자에게 우선공급한다.
북수원자이 렉스비아는 투기과열지구에서 공급하는 민영주택으로 일반공급 1순위 조건을 모두 만족해야 1순위 청약이 가능하다.
- 청약통장에 가입하여 2년이 지난자로서 예치기준금액을 납입할것
- 세대주일것
- 과거 5년이내 당첨된자의 세대에 속하지 않을것
- 2주택 이상을 소유한 세대에 속하지 않을것
일반공급 입주자 저축 순위별 자격요건
1순위는 85제곱미터이하는 가점제 100프로, 85제곱미터 초과는 가점제50%, 추첨제50%.
가점제는 무주택 세대에 속하자이며 추첨제는 1주택을 소유한 세대에 속한자이다.
북수원자이 위치

여기다
'아파트 주택' 카테고리의 다른 글
| 용인 드마크 데시앙 분양가 모델하우스 (0) | 2021.03.29 |
|---|---|
| 창원 마창대교 유보라 아이비파크 분양가 (0) | 2021.03.24 |
| 오페라 센텀파크 서한이다음 분양가 인근매매가 (0) | 2021.03.22 |
| 힐스테이트광천 분양가 청약 주변시세 (0) | 2021.03.17 |
| 대전 한신더휴 리저브 분양가 모집공고 주변시세 (0) | 2021.03.10 |