대구광역시 수성구 청수로24길 75 두산동 진보연립에 301세대 대구 두산동 호반써밋 수성 아파트를 분양한다.
한국자신신탁이 시행하고 호반건설이 시공한다.
공급위치는 대구광역시 수성구 두산동 85번지 일원이며 아파트 지하2층에서 지상49층 3개동 중 아파트 2개동 301세대 및 부대복리시설이 들어선다.
준공예정일은 2024년 4월 예정이며 입주예정일은 2024년 6월 예정이다.
입주예정일은 2024년 6월 예정으로 입주일정은 건축공정에 따라 변경될 수 있다.
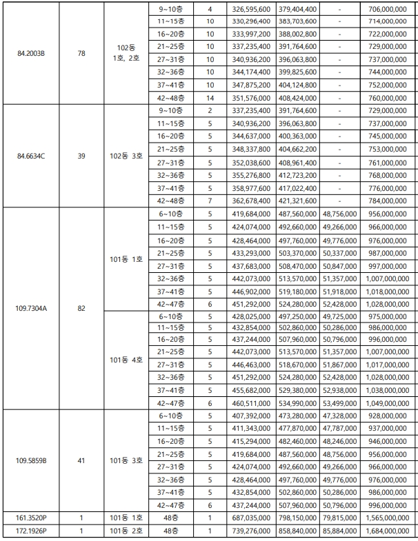
대구 두산동 호반써밋 수성 분양가


청약
청약신청은 특별공급인 일반 기관추천, 신혼부부, 다자녀가구, 노부모부양, 생애최최는 2021년 4월 12일 월요일이며
일반공급은 1순위 해당지역 대구광역시 1년이상 거주자는 2021년 4월 13일 화요일,
1순위 기타지역 대구광역시 1년미만 및 경상북도 거주자는 4월 14일 수요일 청약홈에서 인터넷 신청할 수 있다.
입지

호반써밋 수성은 도시철도 3호선 역세권 황금역을 지나고 동대구로, 청수로, 신천대로, 수성IC등 시내외도로망을 연결한다.
학군도 좋은편이다.
들안길초등학교, 경신고등하교, 경북고등학교, 대륜고, 정화여자고등학교, 대구과학교등학교등 수성구의 우수한 교육환경에 더 수준높은 교육을 기대할 수 있다.
생활은 편리하다.
들안길 주변의 먹거리타운과 홈플러스, 수성아트피아와 대구어린이회관등 잘 갖춰진 쇼핑과 생활 문화인프라가 있는 더 편리한 생활을 할수 있다.
수성유원지 산책로등을 누릴수 있는 수성못과 범어공원이 인접한 에코 프리미엄으로 더 쾌적한 자연을 누릴 수 있는 입지이다.
설계특징
호반서밋 수성은 49층 스카이라인에서 누리는 더 편리한 원스톱 라이프를 누릴수 있으며 대구 수성의 새로운 자부심이 될 초고층 랜드마크에서 가치가 다른 생활과 품격의 차이를 만들 수 있다.
지상 1,2층 상업시설을 누리는 고품격 원스톱라이프와 공간의 효율과 사는 이의 라이프스타일을 고려한 다양한 혁신평면이 있다. 아이들이 즐겁게 놀수 있도로고 다양한 기구들을 마련한 키즈공간을 누릴 수 있다.
평면도
가장 큰 평수의 172제곱미터 펜트하우스 평면도이다.

'아파트 주택' 카테고리의 다른 글
| 2020년도 도시근로자 가구원수별 가수당 월평균 소득기준 (0) | 2021.04.28 |
|---|---|
| 인천 검단신도시 우미린 파크뷰 1단지 2단지 분양가 (0) | 2021.04.20 |
| 횡성 벨라시티 분양가 청약정보 (0) | 2021.04.01 |
| 대구 송현 한양수자인 더팰리시티 분양가 (0) | 2021.03.31 |
| 천안 한양수자인 에코시티 분양가 정보 (0) | 2021.03.30 |