강원도 휭성군 횡성읍 읍하리 191-1번지 일원에 횡성벨라시티 아파트를 분양한다.
공급 규모는 206세대이며 아시아신탁주식회사 시행, 에스지건설주식회사가 시공을 맡았다.

대지면적은 3,045제곱미터로 아파트 지하4층에서 지상최고 23층의 1개동 총 206세대이다.
입주시기는 2023년 10월 예정이다.
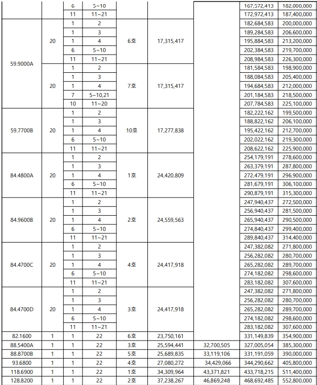
횡성 벨라시티 아파트 분양가
전용 49제곱미터 1억5천만원대부터 전용128제곱미터 5억5천만원대까지 다양한 평형의 분양가를 보이고 있다.


청약
횡성벨라시티는 분양세대 총 206세대 중 일반공급 107세대 특별공급 99세대이다.
일반특별공급은 20세대, 다자녀가구특별공급 20세대, 신혼부부특별공급 40세대, 노부모부양특별공급 9세대, 생애최초 10세대 이다.
강원도 횡성군은 비투기과열지구 및 비청약과열지역으로 1주택이상 소유한 자도 청약 1순위 자격이 부여된다.
1순위자 중 1가구 1주택이상을 소유한자도 전용면적 85제곱미터이하 일반공급 1순위 가점제 청약이 가능하다.
횡성벨라시티 아파트는 분양가상한제 미적용 민영주택이며 무주택기간, 부양가족수, 입주자 저툭 가입기간을 점수로 계산하여 당첨자를 선정하는 추첨제가 적용된다.
85제곱미터 이하의 주택은 가점제 40프로 추첨제 60프로가 적용된다.
85제곱미터 초과주택은 100프로 추첨제로 적용된다.
횡성 벨라시티 아파트는 수도권외 비투기과열지구 및 비청약과열지역의 민간택지에서 공급하는 분양가상한제 미적용 민영주택으로 재당첨제한을 적용받지 않고 기존 주택 당첨여부와 상관없이 아파트 청약이 가능하다.
다만 당첨된 청약통장은 게약여부와 관계없이 재사용이 불가하다.
최초 입주자 모집공고일 현재 횡성군에 거주하거나 강원도에 거주하는 만19세 이상인자 또는 세대주인 미성년자등이 청약이 가능하다. 경쟁시 횡성군 거주자가 우선한다.
청약일정은 특별공급 2021년 4월 12일 월요일, 일반1순위는 4월 13일 화요일에 청약홈 홈페이지에서 접수한다.
입지
횡성 벨라시티는 강원도 횡성군 횡성읍 읍하리 191-1외 3필지이다.

'아파트 주택' 카테고리의 다른 글
| 인천 검단신도시 우미린 파크뷰 1단지 2단지 분양가 (0) | 2021.04.20 |
|---|---|
| 대구두산동 호반써밋 수성 분양가 청약 (0) | 2021.04.06 |
| 대구 송현 한양수자인 더팰리시티 분양가 (0) | 2021.03.31 |
| 천안 한양수자인 에코시티 분양가 정보 (0) | 2021.03.30 |
| 용인 드마크 데시앙 분양가 모델하우스 (0) | 2021.03.29 |