2020년 12월 31일에 공고된 강릉자이 파인베뉴 아파트 입주자모집공고이다.
해당 주택건설지역(강원도 강릉시)는 「주택법」 제63조 및 제63조의2에 의한 비투기과열지구 및 비청약과열지역으로서,본 아파트는 「주택공급에 관한 규칙」에 따라 1주택 이상 소유하신 분도청약 1순위 자격이 부여됩니다.
▣ 본 아파트는 수도권 외 비투기과열지구 및 비청약과열지역의 민간택지에서 공급하는 분양가상한제 미적용 민영주택으로 「주택공급에 관한 규칙」 제54조에 따른 재당첨 제한을 적용받지 않고 기존 주택 당첨여부와 관계없이 본 아파트 청약이 가능합니다.
(단, 본 제도는 당첨된 청약통장의 재사용을 허용하는 제도가 아니며, 당첨된 청약통장은 계약여부와 관계없이 재사용이 불가합니다.)
▣ 본 아파트는 비투기과열지구 민간택지에서 공급하는 아파트로서 분양권 전매에 대한 제한은 없습니다.
본 아파트는 최초 입주자모집공고일(2020.12.31.) 현재 강릉시에 거주하거나, 강원도에 거주(주민등록표등본 기준)하는 만 19세 이상인 자 또는 세대주인 미성년자(자녀양육, 형제자매부양)
[국내에서 거주하는 재외동포(재외국민, 외국국적 동포) 및 외국인 포함]의 경우 청약이 가능합니다.
다만, 청약 신청자중 같은 순위 내에 경쟁이 있을 경우 해당 주택건설지역인 강릉시 거주자가 우선합니다.
공급내역 및 공급금액
▣ 「주택공급에 관한 규칙」 제20조의 규정에 의거 강원도 강릉시 주택과-36578(2020.12.30.)로 입주자모집공고 승인
▣ 공급위치 : 강원도 강릉시 내곡동 102번지 일원
▣ 공급규모 : 아파트 지하 3층, 지상 27층 11개동 918세대
[특별공급 431세대(기관추천특별공급 85세대, 신혼부부특별공급 172세대, 생애최초특별공급 59세대, 다자녀가구특별공급 90세대, 노부모부양 특별공급 25세대)포함] 및 부대복리시설]
▣ 입주시기 : 2024년 01월 예정(정확한 입주일자는 추후 통보함)
▣ 공급대상

•84A타입과 84B타입은 일부 테라스 세대를 포함하고 있으며 별도 청약신청이 불가하오니 아래의 공급금액을 필히 확인하시어 주택형에 대한 혼돈 방지에 특히 유의하시기 바랍니다.
(84A타입 : 449세대 중 테라스타입 12세대 , 84B타입 : 115세대 중 테라스타입 1세대)
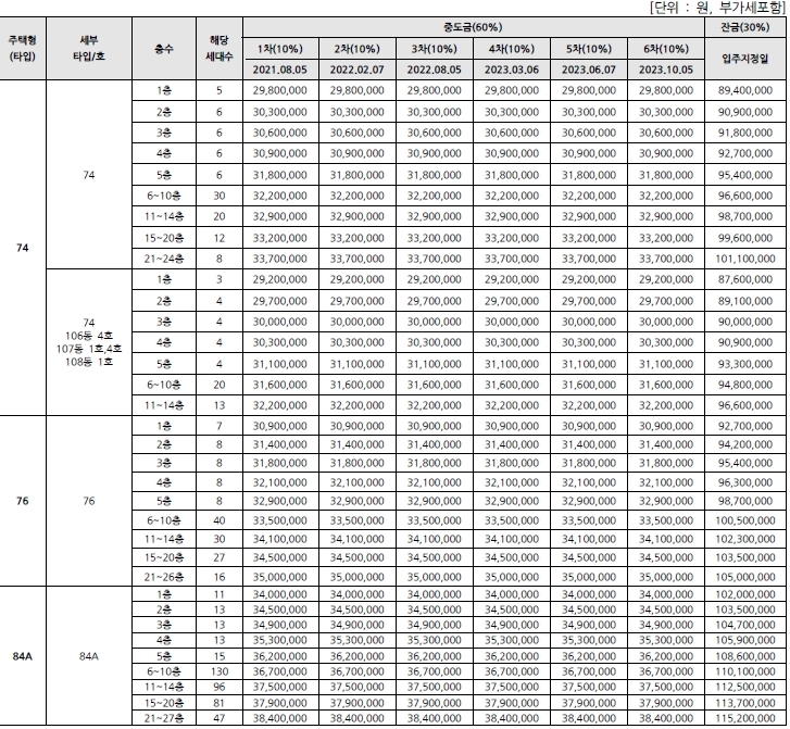
공급금액 및 납부일정
강릉자이 파인베뉴 분양금액이다.

중도금과 잔금이다.

중대형 평수인 84~135제곱미터 분양가이다.

중대형평수 중도금과 잔금이다.

특별공급 신청자격 및 당첨자 선정방법
특별공급 신청자격별 주택형별 공급 세대수이다.

특별공급 공통사항
1. 1회한정/ 자격요건 자격제한
• 특별공급 주택을 분양받고자 하는 자는 「주택공급에 관한 규칙」 제55조에 따라 한 차례에 한정하여 1세대 1주택의 기준으로 공급이 가능하고 당첨자로 선정된 경우에는 향후 특별공급에 신청할 수 없으며, 중복 신청할 경우 전부 무효 처리됨
(「주택공급에 관한 규칙」 제36조제1호 및 제8호의2에 해당하는 경우는 특별공급 횟수 제한 제외)
• 최초 입주자모집공고일 현재 무주택요건, 청약자격요건 및 해당 특별공급별 신청자격을 갖추어야 함
2. 무주택요건
• 최초 입주자모집공고일 현재 다음 특별공급 유형별 무주택세대구성원 또는 무주택세대주 요건을 갖추어야 함
※ 1세대 내 무주택세대구성원(노부모부양 특별공급은 무주택세대주 한정) 중 1인만 신청가능하며, 공급신청자와 동일한 세대의 구성원(부부 포함)이 중복 청약하여 1명이라도 선정이 되면, 당첨자는 부적격당첨자로 처리되고, 예비입주자는 입주자로 선정될 기회를 제공받을 수 없으니 유의하여 신청하시기 바람 [계약체결 불가, 부적격당첨자로 관리되며 당첨일부터 향후 신청하려는 주택의 입주자모집공고일 기준으로 ‘수도권 및 투기·청약과열지역 1년, 수도권외 6개월, 위축지역 3개월’(공급신청하려는 지역 기준) 동안 다른 분양주택
(분양전환공공임대주택을 포함)의 당첨 제한]
- 기관추천 / 다자녀가구 / 신혼부부 / 생애최초 특별공급 : 무주택세대구성원 요건
- 노부모부양자 특별공급 : 무주택세대주 요건
※ 무주택세대구성원이란?
다음 각 목의 사람(세대원) 전원이 주택을 소유하고 있지 아니한 세대의 구성원
(「주택공급에 관한 규칙」 제2조제2호의3 및 제4호)
가. 주택공급신청자
나. 주택공급신청자의 배우자
다. 주택공급신청자의 직계존속(배우자의 직계존속 포함)이면서 주택공급신청자 또는 주택공급신청자의 배우자와 세대별 주민등록표상에 함께 등재되어 있는 사람
라. 주택공급신청자의 직계비속(직계비속의 배우자 포함)이면서 주택공급신청자 또는 주택공급신청자의 배우자와 세대별 주민등록표상에 함께 등재되어 있는 사람
마. 주택공급신청자의 배우자의 직계비속(직계비속의 배우자 포함)이면서 주택공급신청자와 세대별 주민등록표상에 함께 등재되어 있는 사람
3. 청약자격요건
• 최초 입주자모집공고일 현재 다음 특별공급 유형별 신청자의 청약통장 자격요건을 갖추어야 함
- 기관추천 특별공급(단, 국가유공자, 장애인, 철거민 및 도시재생 부지제공자는 제외) / 신혼부부 특별공급 / 다자녀가구 특별공급 신청자
① 청약예금 : 해당 주택에 신청 가능한 청약예금에 가입하여 6개월이 경과하고, 청약예금 지역별, 면적별 예치금액 이상인 자
② 청약부금 : 청약부금에 가입하여 6개월이 경과하고, 매월 약정납입일에 납부한 월납입 인정금액이 85㎡이하 주택에 신청 가능한 청약예금 예치금액 이상인 자
③ 주택청약종합저축 : 주택청약종합저축에 가입하여 6개월이 경과하고, 해당 주택에 신청 가능한 청약예금 지역별, 면적별 예치금액 이상인 자
- 노부모부양 / 생애최초 특별공급 신청자
① 청약예금 : 해당 주택에 신청 가능한 청약예금에 가입하여 6개월이 경과하고, 청약예금 지역별, 면적별 예치금액 이상인 1순위자
② 청약부금 : 청약부금에 가입하여 6개월이 경과하고, 매월 약정납입일에 납부한 월납입 인정금액이 85㎡이하 주택에 신청 가능한 청약예금 예치금액 이상인 1순위자
③ 주택청약종합저축 : 주택청약종합저축에 가입하여 6개월이 경과하고, 해당 주택에 신청 가능한 청약예금 지역별, 면적별 예치금액 이상인 자
※ 각 청약통장으로 신청 가능한 전용면적 이하에 해당되는 주택형에만 청약 가능함

일반(기관추천) 특별공급 85세대 특별공급
(주택공급에 관한 규칙 제36조 : 전용면적 85㎡ 이하 공급세대수의 10% 범위)
▪ 대상자 : 「주택공급에 관한 규칙」 제36조에 해당하는 자 중 최초 입주자모집공고일 현재 무주택세대구성원으로서 특별공급 대상 해당 기관장의 추천 및 인정서류를 받으신 분
(단, 거주요건 등 우선순위 기준은 해당 기관장이 정하며, 과거 특별공급에 당첨된 사실이 있는 자는 제외함)
- 청약자격요건 : 청약통장 가입기간 6개월경과(지역별/면적별 예치금액 이상) 단, 국가유공자, 국가보훈대상자, 장애인 제외
- 추천기관

당첨자 선정방법
- 기관추천 특별공급의 경우 자격요건을 갖춘 자는 먼저 해당기관에 신청하여야 합니다.
- 「주택공급에 관한 규칙」 제36조에 의거하여 관계기관의 장이 정하는 우선순위에 따라 공급합니다.
- 일반(기관추천) 특별공급대상자는 해당기관에서 선정하여 사업주체에 통보한 자만 신청 가능하며, 해당 기관에서 특별공급대상자로 선정되었다 하더라도 반드시 해당 신청일에 인터넷 청약 신청의 방법으로 신청하여야 합니다.[미신청시 당첨자선정(동·호배정)에서 제외되며 계약불가]
- 일반(기관추천) 특별공급 예비대상자는 해당기관에서 선정하여 사업주체에 통보한 자만 신청 가능하며, 해당 기관에서 특별공급 예비대상자로 선정되었다 하더라도 반드시 해당 신청일에 인터넷 청약 신청의 방법으로 신청하여야 하며, 특별공급 입주자를 선정하고 남은 주택이 있는 경우 다른 특별공급 신청자 중 선정되지 않은 자를 포함하여 무작위 추첨으로입주자 및 예비입주자를 선정하므로, 입주자 및 예비입주자로 선정되지 않을 수 있습니다.
- 특별공급은 무주택세대구성원에게 1세대 1주택(공급을 신청하는 경우에는 1세대 1명을 말함) 기준으로 공급하므로 세대 내 2명 이상이 각각 신청하여 1명이라도 선정이 되면, 당첨자는부적격당첨자로 처리되고, 예비입주자는 입주자로 선정될 기회를 제공받을 수 없으니 유의하여 신청하시기 바랍니다.
다자녀 특별공급 90세대
신청자격
▪ 대상자 : 「주택공급에 관한 규칙」제40조에 해당하는 자로서 최초 입주자모집공고일 현재 강릉시 또는 강원도 지역에 거주하는 만19세 미만의 자녀 3명(태아 포함) 이상을 둔 현재 무주택세대구성원
- 입주자저축에 가입하여 청약통장 가입요건을 갖춘 자(청약통장 가입기간 6개월 이상 경과, 지역별/면적별 예치금액 이상)
- 과거에 주택을 소유하였더라도 입주자 모집공고일 현재 무주택세대구성원이면 신청 가능
※ 입주자 모집공고일 현재 3명 이상의 자녀 모두 민법상 미성년자(만 19세 미만)이어야 합니다.
3명 이상의 자녀 중 전부 또는 일부가 주민등록표등본상 공급신청자와 다른 지역에 거주할 경우 가족관계증명서를 제출하여 미성년자임을 입증하여야 합니다.
※ 자녀수에는 태아나 입양자녀도 포함됩니다.
(단, 임신중에 있는 태아나 입양자녀를 자녀수에 포함할 경우에는 출산등과 관련한 자료를 제출하거나 입주 시까지 입양자격을 유지하여야하며 입주 전 불법 낙태 또는 파양한 경우에는 당첨취소 및 부적격 처리됨)
※ 재혼으로 성이 다른 직계가 아닌 자녀를 부양하는 경우 자녀임을 입증할 수 있는 자녀의 가족관계증명서를 제출하여야 합니다.
※ 다자녀 중 전부 또는 일부가 주민등록표상 공급신청자와 세대를 달리할 경우 「가족관계의 등록 등에 관한 법률」에 따라 가족관계증명서를 제출하여야 합니다.
※ 이혼, 재혼한 경우 공급신청자 본인의 자녀는 공급신청자 또는 공급신청자의 배우자와 동일한 주민등록표등본에 등재된 경우에 한하여 자녀수에 포함되며, 재혼한 배우자의 자
녀는 공급신청자와 동일한 주민등록표등본에 등재된 경우에 한하여 자녀수로 인정됩니다.
※ 기타 자세한 사항은 「다자녀가구 특별공급 운용지침」관련 법령에 의합니다.
당첨자 선정방법
- 해당지역 강릉시 거주자에게 우선 공급하며 공급합니다.
- 경쟁이 있는 경우 “다자녀가구 특별공급 우선순위 배점표”에 의한 점수 순에 따라 대상자를 선정합니다.
또한, 동일점수로 경쟁이 있을 경우
① 미성년 자녀수가 많은 자
② 자녀수가 같을 경우 공급 신청자의 연령(연월일 계산)이 많은 자 순으로 공급합니다.
- 특별공급은 무주택세대구성원에게 1세대 1주택(공급을 신청하는 경우에는 1세대 1명을 말함) 기준으로 공급하므로 세대 내 2명 이상이 각각 신청하여 1명이라도 선정이 되면, 당첨자는부적격당첨자로 처리되고, 예비입주자는 입주자로 선정될 기회를 제공받을 수 없으니 유의하여 신청하시기 바랍니다.
다자녀 가구 배점 기준표

신혼부부특별공급 172세대
전용면적 85제곱미터이하 공급 세대수의 20%범위
신청자격
▪ 대상자 : 「주택공급에 관한 규칙」제41조에 해당하는 자로서 최초 입주자모집공고일 현재 강릉시에 거주하거나 강원도 지역에 거주하고 혼인기간이 7년 이내(혼인신고일 기준, 재혼포함)인 무주택세대 구성원(신혼부부는 혼인신고일부터 입주자모집공고일 현재까지 계속 무주택자이어야 함*)으로서 「신혼부부 주택 특별공급 운용지침」 에서 정하는 소득기준을 충족하는 자
* 단, 2018.12.11. 전 기존주택을 처분하여 입주자모집공고일 현재 무주택기간이 2년을 경과한 경우 2순위 청약 가능(신혼부부 특별공급 특례)
- 청약자격요건 : 입주자저축에 가입하여 청약통장 가입요건을 갖춘 자(청약통장 가입기간 6개월 이상 경과, 면적별 예치금액 이상)
- 소득기준 : 해당 세대의 월평균 소득이 전년도 도시근로자 가구원수별 월평균소득(4명 이상 세대는 가구원수별 가구당 월평균소득을 말한다) 기준의 120%이하인자(신혼부부 모두 소득이 있는 경우 130% 이하)
※ 출산은 기본증명서, 가족관계증명서 및 주민등록표등본으로 판단하며, 임신의 경우 임신진단서, 입양의 경우 입양관계증명서(양자 및 친양자의 경우 입양관계증명서상 입양신고일이 적용됨) 등으로 확인합니다.
※ 임신의 경우 계약서류 제출 시 출산 관련 자료(출생증명서, 유산·낙태 관련 진단서, 임신 지속시 임신진단서)를 추가로 제출하여야 하며 서류 미제출, 허위 임신, 불법낙태의 경우 당첨취소
및 부적격 처리되어 향후 신청이 제한됩니다. (출산관련 자료는 공고일 현재 임신사실 확인이 가능해야 함)
※ 계약서류 제출 시 임신진단서를 제출한 자는 입주 시까지 출생증명서 또는 유산, 낙태관련 진단서를 제출하여야 합니다.
※ 입양의 경우 입주 시까지 입양자격을 유지하여야 하고 입주지정기간 개시 일 이후 입양상태를 증명할 수 있는 서류(입양관계증명서 등)를 추가로 제출하여야 하며 서류미제출, 입주 전 파양
한 경우에는 부적격 처리되어 당첨취소 및 계약 취소되며, 향후 신청이 제한됩니다.
※ 소득관련 증빙서류를 제출할 수 없는 경우 신혼부부 특별공급 신청이 제한되면 부적격 처리 될 수 있으며, 관련 서류의 제출 책임은 공급신청자 본인에게 있습니다.
※ 기타 자세한 사항은 「신혼부부 특별공급 운용지침」 관련 법령에 의합니다.
당첨자 선정방법
- 2018.05.04. 개정된 「주택공급에 관한 규칙」에 의거 민영주택 신혼부부 특별공급 대상 세대수의 75%를 전년도 도시근로자 가구원수별 월평균 소득 기준의 100%이하인 자(신혼부부 모두 소득이 있는 경우 120% 이하)에게 우선공급하며, 나머지 주택 25%(우선공급에서 미분양된 주택을 포함함)는 소득기준을 완화하여 전년도 도시근로자 가구원수별 월평균 소득 기준의 120%이하인 자(신혼부부 모두 소득이 있는 경우 130% 이하)까지 확대하여 일반공급(우선공급에서 입주자로 선정되지 아니한 자를 포함한다)합니다.
- 특별공급은 무주택세대구성원에게 1세대 1주택(공급을 신청하는 경우에는 1세대 1명을 말함) 기준으로 공급하므로 세대 내 2명 이상이 각각 신청하여 1명이라도 선정이 되면, 당첨자는 부적격당첨자로 처리되고, 예비입주자는 입주자로 선정될 기회를 제공받을 수 없으니 유의하여 신청하시기 바랍니다.
▪ 우선공급 또는 일반공급에서 경쟁이 있는 경우 당첨자 선정방법
- 최초 입주자모집공고일 현재를 기준으로 자녀 유무에 따라 순위제를 규정하며, 제1순위에 우선공급 합니다.
① 제1순위 : 현재 혼인관계에 있는 배우자와의 사이에서 미성년 자녀가 있는 자 (임신 중이거나 입양한 경우 포함)
재혼일 경우에는 입주자 모집공고일 현재 혼인관계에 있는 배우자와의 혼인기간 내 임신 중이거나 출산(입양포함)한 자녀가 있는 경우에 해당
혼인신고 이전 출산 자녀(입주자모집공고 이전 출생신고)가 있는 경우 혼인기간 중 출생한 자녀로 포함
② 제2순위 : 1순위에 해당하지 아니하는 자 → 무자녀 또는 2018.12.11. 전 기존 주택을 처분하고 무주택기간이 2년을 경과
▪ 같은 순위 내에서 경쟁이 있는 경우 당첨자 선정방법
- 제1순위에서 경쟁이 있는 경우에는 다음의 순서대로 입주자를 선정합니다.
① 해당 주택건설지역(강릉시)거주자 ② 미성년 자녀(태아를 포함한다)수가 많은 자
* 재혼인 경우 이전 배우자와의 혼인관계에서 출산․입양한 미성년자녀(전혼자녀)를 포함하되, 그 자녀가 신청자 또는 세대 분리된 재혼배우자와 동일한 주민등록표등본에 등재되어야 함
* 재혼 배우자의 친자녀(전혼 배우자의 자녀)는 신청자와 동일한 주민등록표등본에 등재된 경우만 해당
③ 미성년 자녀(태아를 포함한다) 수가 같은 경우에는 추첨으로 선정된 자
- 제2순위에서 경쟁이 있는 경우에는 다음의 순서대로 입주자를 선정함
① 해당 주택건설지역(강릉시)거주자
② 미성년 자녀(태아를 포함한다)수가 많은 자
* 재혼인 경우 이전 배우자와의 혼인관계에서 출산․입양한 미성년자녀(전혼자녀)를 포함하되, 그 자녀가 신청자 또는 세대 분리된 재혼배우자와 동일한 주민등록표등본에 등재되어야 함
* 재혼 배우자의 친자녀(전혼 배우자의 자녀)는 신청자와 동일한 주민등록표등본에 등재된 경우만 해당
③ 미성년 자녀(태아를 포함한다) 수가 같은 경우에는 추첨으로 선정된 자
※ 임신부부 또는 입양부부가 신혼부부 특별공급의 입주자로 선정된 경우, 사업주체는 입주예정자에게 입주지정기간 개시일 전까지 출산 및 입양 관련 서류(출생증명서, 유산·낙태 관련 진단서등) 제출을 요구하여 출산여부 및 입양상태를 확인할 수 있음. 입양의 경우에는 입주예정자가 입주하기 전에 입주지정기간 개시일 이후 발급받은 가족관계증명서와 입양관계증명서를 통해 확인하고, 임신부부의 임신 상태가 입주지정 개시일까지 지속되는 경우에는 입주예정자가 입주하기 전에 입주지정기간 개시일 이후 발급받은 임신진단서를 통해 이를 확인할 수 있으며 입주예정자가 관련 서류를 제출하지 않거나, 불법 낙태 또는 입주 전 파양한 사실이 판명되는 때에는 공급계약을 취소할 수 있습니다.
※ 자녀수는 다음 각 호에 해당하는 경우에 포함하여 산정합니다.
* 공급신청자의 직계비속(입양한 자녀를 포함함. 이하 같다)인 미성년 자녀로 공급신청자와 동일한 세대를 이루고 있는 경우
* 공급신청자의 직계비속인 미성년 자녀로 공급신청자의 배우자와 동일한 세대를 이루고 있는 경우
* 공급신청자의 배우자가 이전 배우자와의 사이에서 출산한 미성년 자녀로 공급신청자와 동일한 세대를 이루고 있는 경우
신혼부부 특별공급 소득기준

생애최초 특별공급 59세대
전용면적 85제곱미터 이하
신청자격
▪ 대상자 : 주택공급에 관한 규칙」 제43조에 해당하는 자로서 최초 입주자모집공고일 현재 강릉시에 거주하거나 강원도 지역에 거주하면서 생애최초(세대에 속한 모든 자가 과거 주택을 소유한 사실이 없는 경우로 한정)로 주택을 구입하는 자로서 다음의 요건을 모두 만족하는 자
- 제28조제1항의 1순위에 해당하는 무주택세대구성원
- 입주자모집공고일 현재 혼인 중이거나 미혼인 자녀(입양을 포함, 혼인 중이 아닌 경우에는 동일한 주민등록표 등본에 올라 있는 자녀를 말함)가 있는 자
- 입주자모집공고일 현재 근로자 또는 자영업자[과거 1년 내에 소득세(「소득세법」제19조 또는 제20조에 해당하는 소득에 대하여 납부하는 것을 말함)를 납부한 자를 포함]
로서 5년 이상 소득세를 납부한 자. 단, 이 경우 해당 소득세납부의무자이나 소득공제, 세액공제, 세액감면 등으로 납부의무액이 없는 경우를 포함
- 소득기준 : 해당 세대의 월평균 소득이 전년도 도시근로자 가구원수별 월평균소득(4명 이상 세대는 가구원수별 가구당 월평균소득을 말한다) 기준의 130%이하인 자
※ 배우자 분리세대의 경우에는 주민등록이 분리된 배우자 및 배우자와 동일한 세대를 이루고 있는 세대원도 주택을 소유하지 아니하여야 함
※ 소형ㆍ저가주택을 소유한 경우 유주택자에 해당
※ 입주자저축에 가입하여 청약통장 가입요건을 갖춘 자(최초 입주자모집공고일 현재 「주택공급에 관한 규칙」 제28조에 따른 청약1순위 자격요건을 갖추어야 합니다.)
당첨자 선정방법
- 경쟁이 있는 경우 해당주택건설지역인 강릉시 거주자가 우선하며, 경쟁이 있는 경우 추첨으로 결정됩니다.
- 세대 구성원 중 과거에 한번이라도 주택(분양권 포함)을 소유한 사실이 있는 경우 신청대상에서 제외됩니다.
- 특별공급은 무주택세대구성원에게 1세대 1주택(공급을 신청하는 경우에는 1세대 1명을 말함) 기준으로 공급하므로 세대 내 2명 이상이 각각 신청하여 1명이라도 선정이 되면, 당첨자는부적격당첨자로 처리되고, 예비입주자는 입주자로 선정될 기회를 제공받을 수 없으니 유의하여 신청하시기 바랍니다.
※ 소형·저가 주택을 소유한 경우 유주택자에 해당됩니다.
※ 입주자모집공고일 현재 기혼 신청자 청약 신청시 배우자가 주민등록표등본상 분리되어 있어도 청약은 가능하나 배우자 및 배우자의 동일 등본에 등재되어 있는 신청자(배우자포함)의 직계존비속 전원이 과거 주택을 소유한 사실이 없어야 신청 가능합니다.
※ 입주자모집공고일 현재 신청자가 이혼(사별) 등으로 배우자가 없는 경우에는 미혼인 자녀(입양포함)가 주민등록표등본상 같이 등재된 경우에만 신청 가능합니다.
[단, 「생애최초 주택 특별공급 운용지침」 제4조(청약자격)의 규정에 따라, 이혼한 자녀는 해당되지 않음]
※ 소득관련 증빙서류를 제출할 수 없는 경우 생애최초 주택 특별공급 신청이 제한되어 부적격 처리 될 수 있으며, 관련 서류의 제출 책임은 공급신청자 본인에게 있습니다.
※ 기타 자세한 사항은 「생애최초 주택 특별공급 운용지침」 관련 법령에 의합니다.
생애최초 주택 특별공급 소득기준

노부모부양 특별공급 25세대
공급세대수의 3%범위
신청자격
- 대상자 : 「주택공급에 관한 규칙」 제46조에 해당하는 자로서 최초 입주자모집공고일 현재 강릉시에 거주하거나 강원도 지역에 거주하면서 만65세 이상의 직계존속(배우자의 직계존속 포함)을 3년 이상 계속하여 부양(같은 세대별 주민등록표상에 등재되어 있는 경우에 한정)하고 있는 무주택 세대주(피부양자의 배우자도 무주택자이어야 하고 피부양자의 배우자가주택을 소유하고 있었던 기간은 무주택기간에서 제외함)
- 청약 자격요건 : 입주자저축에 가입하여 청약통장 가입요건을 갖춘 자(청약통장 가입기간 6개월 이상 경과)
당첨자 선정방법
- 해당주택건설지역인 강릉시 거주자에게 우선 공급합니다.
- 「주택공급에 관한 규칙」 제 46조 제2항에 따라 경쟁이 있는 경우에는 가점제를 적용하되, 동점일 경우에는 추첨의 방법에 따릅니다.
- 1순위에서 경쟁이 있는 경우 가점제 적용은 신청자 본인이 작성한 ‘청약가점 산정기준(「주택공급에 관한 규칙」별표1)’에 의거한 청약가점 점수를 우선순위로 당첨자를 선정합니다.
- 특별공급은 무주택세대구성원에게 1세대 1주택(공급을 신청하는 경우에는 1세대 1명을 말함) 기준으로 공급하므로 세대 내 2명 이상이 각각 신청하여 1명이라도 선정이 되면, 당첨자는 부적격당첨자로 처리되고, 예비입주자는 입주자로 선정될 기회를 제공받을 수 없으니 유의하여 신청하시기 바랍니다.
※ 주민등록표초본상 말소사실이 있는 경우 해당 시, 도 거주기간은 재등록일 이후부터 산정합니다.
※ 가점제 점수는 「주택공급에 관한 규칙」 [별표1] 2호 나목의 청약 가점점수 산정기준표로 산정합니다.
※ 무주택기간은 청약신청자 및 그 배우자, 피부양자(노부모) 및 그 배우자를 기준으로 산정합니다.
※ 배우자 분리세대의 경우에는 주민등록이 분리된 배우자 및 배우자와 동일한 세대를 이루고 있는 세대원도 주택을 소유하지 아니하여야 합니다.
※ 만60세 이상의 직계존속(피부양자의 배우자 포함)이 주택을 소유한 경우 유주택자에 해당됩니다.
※ 소형․저가주택을 소유한 경우 유주택자에 해당됩니다.
※ 신청자 본인이 직접 작성한 청약가점의 점수가 본인의 기재 오류에 의한 잘못으로 판명될 경우, 당첨이 취소될 수 있으며, 그 책임은 전적으로 본인에게 있습니다.
※ 기타 자세한 사항은 「노부모부양자 특별공급 운용지침」 등 관련 법령에 의합니다.
유의점
▣ 2019.11.01 개정된 「주택공급에 관한 규칙」 제4조제5항 및 제23조제2항제7호에 따라 우선 공급 받으려는 경우에는 「출입국관리법」 제88조의 출입국사실증명서를 사업주체에 제출하여야 합니다.
장기해외체류자는 해당 주택건설지역 우선공급 대상자로 신청이 불가하며, 이를 위반하여 해당 주택건설지역 거주자로 청약하여 당첨된 경우에는 부적격 당첨자로 처리됩니다.
▣ 본 아파트의 당첨자로 선정 시 당첨자 및 세대에 속한 자는 당첨일로부터 향후 5년간 투기과열지구 및 청약과열지역에서 공급하는 주택의 1순위 청약접수가 제한되오니 유의하시기 바랍니다.
▣ 2018.12.11. 개정된 「주택공급에 관한 규칙」 제2조제2호의3, 제2조의4에 의거 ‘세대’ 및 ‘무주택세대구성원’의 정의가 변경되었습니다.
- “세대”란, 다음 각 목의 사람(이하 “세대원”)으로 구성된 집단(주택공급신청자가 세대별 주민등록표에 등재되어 있지 않은 경우는 제외)
가. 주택공급신청자
나. 주택공급신청자의 배우자
다. 주택공급신청자의 직계존속(배우자의 직계존속 포함) : 주택공급신청자 또는 주택공급신청자의 배우자와 세대별 주민등록표에 함께 등재되어야 함
(예) 부․모, 장인․장모, 시부․시모, 조부․조모, 외조부․외조모 등
라. 주택공급신청자의 직계비속(직계비속의 배우자 포함) : 주택공급신청자 또는 주택공급신청자의 배우자와 세대별 주민등록표에 함께 등재되어야 함
(예) 아들․딸, 사위․며느리, 손자․손녀, 외손자․외손녀 등
마. 주택공급신청자의 배우자의 직계비속(직계비속의 배우자 포함) : 주택공급신청자의 세대별 주민등록표에 함께 등재되어야 함 (예) 전혼자녀 등
- “무주택세대구성원”이란, 세대원 전원이 주택을 소유하고 있지 않은 세대의 구성원
▣ 2018.12.11. 개정된 「주택공급에 관한 규칙」 별표1 제1호 나목에 의거 주택(분양권등 포함)을 소유하고 있는 직계존속과 직계존속의 배우자는 가점제 항목의 부양가족으로 보지 않습니다.
부양가족 판단 시 직계비속은 미혼자녀와 부모가 모두 사망한 미혼의 손자녀인 경우에 한정하여 인정됩니다.
▣ 2018.12.11. 개정된 「주택공급에 관한 규칙」 제2조제7호의2, 제23조제4항, 제53조에 의거 분양권 및 입주권(이하 “분양권등”)을 소유한 경우 주택 소유로 간주하오니, 주택소유 여부 판정
시 유의하시기 바랍니다.(기타 주택소유 여부 판정기준에 대한 자세한 내용은 「주택공급에 관한 규칙」 제53조 참조)
※ 주택 소유로 보는 분양권등의 범위(국토교통부령 부칙 제3조, 제565호, 2018.12.11. 시행)
- 분양권등 신규 계약자 : 「주택공급에 관한 규칙」개정 시행일(2018.12.11.) 이후 ‘입주자모집공고, 관리처분계획(정비사업) 또는 사업계획(지역주택조합)’ 승인을 신청한 주택의 분양권등부
터 적용하며, ‘공급계약 체결일’ 기준 주택 소유로 봄 (*미분양 주택을 최초로 공급받은 경우는 제외되나, 해당 분양권등을 매수한 경우 주택소유로 봄)
- 분양권등 매수자 : 「주택공급에 관한 규칙」개정 시행일(2018.12.11.) 이후 매수 신고한 분양권등부터 적용하며, ‘매매대금 완납일’(실거래 신고서상) 기준 주택 소유로 봄
▣ 2018.12.11. 개정된 「주택공급에 관한 규칙」제2조제7호의3에 의거 “소형․저가 주택등”은 분양권등을 포함하며, 공급계약서의 공급가격(선택품목 제외)을 기준으로 가격을 판단합니다.
※ “소형․저가주택등”이란, 전용면적 60제곱미터 이하로서 주택가격이 8천만원(수도권은 1억3천만원) 이하인 주택 또는 분양권등 (주택가격은 「주택공급에 관한 규칙」 별표1제1호가목2)의 기준에 따름)
▣ 본 아파트는 건전한 주택청약 문화정착을 위한 정부의 방침에 따라 인터넷 청약을 원칙으로 하고 있으므로 청약 이전에 청약통장 가입은행 및 취급은행을 방문하여 인터넷뱅킹 가입 및 공동인증서를 신청접수일 이전에 미리 발급받으시기 바랍니다.
※ 한국부동산원에서 운영하는 '청약Home' 홈페이지(www.applyhome.co.kr)에서 청약 신청자의 편의를 위하여 인터넷 청약서비스를 시행하고 있습니다.
[인터넷 청약 절차에 대한 보다 자세한 사항은 '청약Home' 홈페이지(www.applyhome.co.kr)에서 운영하는 “청약가상체험”을 활용하시기 바람]
▣ 「주택공급에 관한 규칙」 제50조제1항에 따라 특별공급 및 일반공급 입주자 선정 및 동·호수 배정은 한국부동산원에서 실시합니다.
▣ 고령자, 장애인, 다자녀가구(단, 미성년자녀 3명 이상)의 최하층 우선배정
「주택공급에 관한 규칙」 제51조 규정에 의거 제1호 입주자모집공고일 현재 만65세 이상인 자 또는 그 세대에 속한 자, 제2호 「장애인복지법」 제32조에 따라 장애인등록증이 발급된 자 또는 그 세대에 속한 자, 제3호 미성년자 3명 이상의 자녀를 둔 자 또는 세대에 속한 자가 있는 경우에는 주택공급신청(특별 및 일반공급)시 최하층의 주택배정을 희망한 당첨자에 대해서 해당 층을 우선 배정하오니 청약 시 선택하여 주시기 바랍니다.
(최하층이라 함은 1층을 말하며 1층이 없는 경우 최저층을 말하며, 해당 주택의 분양 가격이 바로 위층 주택의 분양가격보다 높은 경우는 제외한다) 제1호 또는 제2호에 해당하는 자와 제3호에 해당하는 자 사이에 경쟁이 있으면, 제1호 또는 제2호에 해당하는 자에게 우선 배정합니다.
단, 신청자가 많은 경우 다른 층을 배정받을 수 있고, 적은 경우에는 미신청자(최하층 우선배정 신청 비대상자 포함)에게도 최하층이 배정될 수 있습니다.
▣ 2018.12.11. 개정된 「주택공급에 관한 규칙」제41조제1항제1호다목에 의거 신혼부부 특별공급 신청 시 신혼부부는 혼인신고일부터 입주자모집공고일 현재까지 계속하여 무주택자이어야 합니다.
단, 「주택공급에 관한 규칙」 개정 시행일(2018.12.11.) 전 기존주택을 처분하여 입주자모집공고일 현재 무주택기간이 2년을 경과한 경우 2순위 자격이 부여됩니다.
(부칙 제5조 신혼부부 특별공급 특례)
▣ 신청접수는 당첨자발표일이 동일한 주택 전체에 대하여 1인 1건만 신청가능하며, 1인 2건 이상 청약신청 할 경우에는 모두를 무효처리 합니다.
단, 본인이 동일주택에 특별공급과 일반공급 중복신청이 가능하나 특별공급 당첨자로 선정될 경우 일반공급 당첨자 선정에서 제외됩니다.(본인이 동일주택에 특별공급 중복청약 시에는 모두 무효처리)
▣ 특별공급은 무주택세대구성원에게 1세대 1주택(공급을 신청하는 경우에는 1세대 1명을 말함) 기준으로 공급하므로 세대 내 2명 이상이 각각 신청하여 1명이라도 선정이 되면, 당첨자는 부적격당첨자로
처리되고, 예비입주자는 입주자로 선정될 기회를 제공받을 수 없으니 유의하여 신청하시기 바랍니다.
▣ 2018.05.04. 개정된 「주택공급에 관한 규칙」에 의거 특별공급 신청 방법이 ‘견본주택 방문신청’에서 ‘청약Home 홈페이지(www.applyhome.co.kr) 인터넷 청약 신청‘으로 변경되었습니다.
해당 신청일에 인터넷 청약접수를 원칙으로 하며, 정보취약계층(고령자 및 장애인 등) 등에 한하여 인터넷 청약이 불가한 경우에만 사업주체 견본주택에서 접수가 가능합니다.
▣ 청약 신청한 주택의 신청취소는 신청 당일 청약신청 마감 이전까지 가능하며, 청약 접수 종료 이후에는 어떠한 경우라도 신청 취소 및 변경이 불가하오니 유의하여 주시기 바랍니다.
▣ 2018.05.04. 개정된 「주택공급에 관한 규칙」 제25조의 제7항에 의거 특별공급 대상 주택의 입주자를 선정하고 남은 주택의 입주자는 다른 공급유형의 특별공급 신청자 중 입주자로 선정되지 않은 자를 대상으로 추첨의 방법으로 선정하며, 입주자를 선정하고 남은 주택은 일반공급으로 전환하여 공급한다.
▣ 2018.05.04. 개정된 「주택공급에 관한 규칙」 제26조의2에 의거 특별공급 예비입주자를 선정하도록 신설되었으며, 특별공급 접수종류 구분 없이 주택형별 경쟁이 있는 경우 추첨의 방법으로 예비입주자를 선정합니다.
▣ 2017.09.20 개정된 「주택공급에 관한 규칙」 제28조에 제6항 제2호에 의거 본 주택에 가점제로 당첨되신 분은 당첨일로부터 2년간 가점제 당첨제한자로 관리되오니, 향후 당첨자 본인 및 세대원이 가점제가 적용되는 민영주택에 청약하는 경우 가점제 제한사항 적용여부를 확인하신 후 청약하시기 바랍니다.
▣ 본 아파트에 1순위 청약 시 모집공고일 현재 과거 2년 이내 가점제로 당첨된 자의 세대에 속한 자는 추첨제로 청약접수 하여야 합니다.
또한, 가점제 제한 청약자가 가점제로 청약하여 당첨된 경우 부적격 처리되오니 청약 시 유의하시기 바랍니다.
▣ 2순위 접수방법이 청약신청금 납부에서 청약통장 사용으로 변경되었으니 2순위로 청약하고자 하시는 분은 입주자모집공고일 현재 지역별 예치금액과 상관없이 주택청약종합저축(청약 예·부금 포함)에 가입되어 있어야 합니다.
▣ 「주택공급에 관한 규칙」 제26조의2 제1항 및 제26조제1항에 따라 예비입주자를 선정하는 경우에는 특별공급 및 일반공급은 순위에 따라 대상 주택수의 80% 이상을 예비입주자로 선정합니다.
선정된 예비입주자 현황은 최초 공급계약 체결일부터 60일까지(예비입주자가 소진될 경우에는 그 때까지로 함) 사업주체의 인터넷 홈페이지 (http://k-xi.co.kr)에 공개되며, 공개기간이 경과한 다음날에 예비입주자의 지위는 소멸되며, 예비입주자의 지위가 소멸된 때 예비입주자와 관련한 개인정보는 파기처리하오니 참고하시기 바랍니다.
▣ 2019.12.06. 개정된 「주택공급에 관한 규칙」 제26조에 의거 일반공급 예비입주자는 청약신청자가 예비입주자 선정 총수에 미달되어도 가점이 높은 순으로 예비순번을 부여합니다.
• 일반공급 예비입주자 선정 시 주택형별로 공급세대수의 80%를 아래와 같이 선정합니다.
- 1순위 : 공급세대수의 80%까지 지역우선공급을 적용(대규모택지개발지구인 경우 지역구분 없음)하여 가점이 높은 자를 앞 순번으로 선정
* 가점제가 적용되지 않는 주택인 경우 추첨의 방법으로 예비입주자를 선정
- 2순위 : 1순위에서 미달된 예비공급세대수 만큼 지역우선공급을 적용(대규모택지개발지구인 경우 지역구분 없음)하여 추첨으로 선정
▣ 특별공급 및 일반공급 입주자로 선정된 자 중 당첨이 취소되거나 공급계약을 체결하지 아니한 자 또는 공급계약을 해약한 자가 있으면 소명기간이 지난 후 특별공급 및 일반공급 예비입주자에게 순번에 따라 공급하되, 최초로 예비입주자를 입주자로 선정하는 경우 특별공급 및 일반공급의 당첨 취소 또는 미계약 물량과 해당 주택의 동·호수를 공개한 후 동·호수를 배정하는 추첨의 참가의사를 표시한 특별공급 예비입주자에 대하여는 특별공급 물량을, 일반공급 예비입주자에 대하여는 일반공급 물량을 추첨의 방법으로 동·호수를 배정하여 공급하고, 특별공급 물량 중 특별공급 예비입주자에게 공급하고 남은 주택은 일반공급 예비입주자에게 공급합니다.
▣ 2018.05.04. 개정된 「주택공급에 관한 규칙」 제26조의 제6항에 의거 예비입주자로 선정된 자가 다른 주택의 공급을 신청하여 입주자로 선정된 경우 예비입주자로서 주택을 공급받을 수 없으며,
동·호수 배정에 참여할 수 없습니다. 다만, 예비입주자의 동호수배정일(당첨일)이 입주자 선정일보다 빠른 경우 예비입주자 계약체결은 가능하며 입주자선정내역은 무효처리 됩니다.
▣ 「주택공급에 관한 규칙」 제59조제2항에 따라 주택의 공급계약은 입주자 및 예비입주자 선정사실 공고일부터 11일이 경과한 후 3일 이상의 기간을 정하여 해당기간 동안에 체결합니다
본 아파트에 대한 공급계약을 체결한 계약자는 「부동산 거래신고 등에 관한법률」 제3조에 따라 공급계약 체결일로부터 30일 이내에 신고기관에 부동산거래의 신고를 사업주체 및 시공사와 공동으로 하여야 합니다. 따라서 부동산 거래의 신고에 따른 필요한 분양서류 일체를 사업주체에 제공하여야 하며 신고를 거부하거나 서류 미제출로 인하여 발생하는 과태료 부과 등 모든 책임은 계약자에게 있으니 이점 양지하시기 바랍니다.
▣ 135타입의 경우 자금조달계획서를 의무 제출 하여야 하며 30일 이내에 제출하지 않거나 거짓으로 작성하는 경우 「부동산 거래신고 등에 관한법률」 제28조제2항 또는 제3항에 따라 과태료가
부과될 수 있습니다.
▣ 본 아파트의 중도금(60%) 대출관련 정책 및 대출상품의 종류, 개인의 사정 및 자격가능여부 등으로 대출한도가 부족하거나 불가할 경우 계약자는 사업주체 및 시공사에게 책임 및 이의를 제기할 수 없으며, 분양대금을 본인 책임 하에 조달하여 기일 내에 납부하여야 합니다.
▣ 청약, 전매 및 재당첨 등에 관한 사항은 향후 「주택법」 및 관계 법령 개정내용에 따라 조정될 수 있습니다.

강릉아파트 일반공급 청약 참고 :
https://great20.tistory.com/245
강릉아파트 분양 - 강릉자이 분양공고 분석 (일반공급)
강릉아파트 민간분양이 줄줄이 대기중이다. 아파트 청약의 중요한 점은 기존 분양공고를 분석해봄으로써 가장 쉽게 접근할 수 있다. 다음은 강릉자이 파인베뉴 일반공급 입주자 모집공고이다.
great20.tistory.com
'아파트 주택' 카테고리의 다른 글
| 평택 지제역자이 분양가 청약 평형 (0) | 2021.06.09 |
|---|---|
| 강릉아파트 분양 - 강릉자이 분양공고 분석 (일반공급) (0) | 2021.06.07 |
| 인천 시티오씨엘 1단지 분양가 입주자모집공고 (0) | 2021.06.03 |
| 영종도 서한이다음 분양공고 분양가 (0) | 2021.05.27 |
| 송도분양 송도아리스타프라임 입주자 모집공고 분양가 (0) | 2021.05.24 |