반응형
인천광역시 연수구 송도동 22-6, 22-7번지의 송도아리스타프라임이 90세대 입주자를 모집한다.
송도 아리스타프라임은 투기과열지구, 청약과열지역, 대규모택지개발지구로 특별공급은 6월3일, 1순위 청약 6월 4일, 2순위 청약은6월 7일에 청약을 접수한다.
당첨자 발표일은 6월 11일이다.
청약 대상

시행사는 하나자산신탁, 시공사는 대양종합건설이다.
청약신청자격

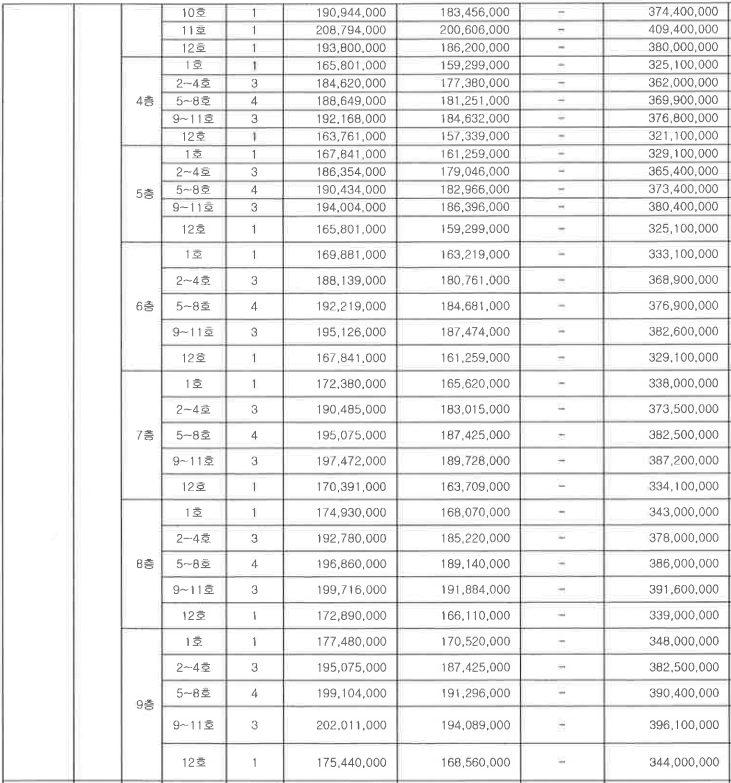
송도 아리스타프라임 분양가
41제곱미터형 분양금액이다.

41제곱미터형은 3층부터 9층까지 구성되어있다.

82, 77, 80, 82제곱미터 분양가이다.

특별공급
일반 기관추천, 경제자유구역, 다자녀가구, 신혼부부, 노부모부양, 생애최초가 있다.
특이한 점은 경제자유구역 특별공급으로 8세대를 모집한다.
경제자유구역 특별공급은무주택 세대구성원이며 외국인투자기업 및 종사자등에 대한 특별공급 세부기준에 해당하는 자가 청약가능하다.
특별공급은 공통적으로 1회한정이며, 무주택, 청약통장 요건을 충족해야한다.

일반공급은 1순위와 2위가 있다.

반응형
'아파트 주택' 카테고리의 다른 글
| 인천 시티오씨엘 1단지 분양가 입주자모집공고 (0) | 2021.06.03 |
|---|---|
| 영종도 서한이다음 분양공고 분양가 (0) | 2021.05.27 |
| 세운 푸르지오 헤리시티 아파트 분양가 (0) | 2021.05.05 |
| 양산 사송 더샵 데시앙 3차 입주자 모집공고 (0) | 2021.04.30 |
| 2020년도 도시근로자 가구원수별 가수당 월평균 소득기준 (0) | 2021.04.28 |